Categorías
Uncategorized

Una mayoría de universitarios usa portátiles en el aula: ¿qué supone para los docentes?

Gorodenkoff/Shutterstock

Mientras debatimos sobre si, cómo y cuánto usar dispositivos electrónicos en las clases de primaria y secundaria, en el ámbito universitario el uso de dispositivos digitales está integrado en el sistema desde hace más de dos décadas.

La puesta en marcha del Proceso Bolonia –con uno de sus pilares básicos centrados en la mejora educativa a través de nuevas metodologías docentes y de evaluación– ha promovido, durante los últimos 20 años, un notable desarrollo del uso de las TIC en todas las universidades. En Europa se ha generalizado el uso de plataformas de aprendizaje que permiten gestionar contenidos académicos, la comunicación y la evaluación (por ejemplo, MOODLE en España).

La mejora de la conectividad wifi en las aulas (EDUROAM es la red que se usa en las universidades españolas), junto al progresivo descenso de los precios y peso de los ordenadores personales, ha llevado a que el uso de estos dispositivos por parte de alumnos y alumnas en las aulas se haya generalizado. Se calcula que, en cursos superiores, más de un 80 % del alumnado hace uso de ellos de forma habitual.

Aunque con menos intensidad que en la educación preuniversitaria, también en la Universidad se da el debate sobre la influencia en el rendimiento académico del uso de ordenadores portátiles durante las clases presenciales.



Leer más:
¿Cómo ayudar a los universitarios a encontrar trabajo en lo suyo?

Rendimiento académico y uso de TIC en el aula

La evaluación comparativa del rendimiento académico en los estudios universitarios es notablemente más compleja que en los preuniversitarios. La libertad de cátedra, “derecho que atañe a todo aquel que se encarga de enseñar, en tanto que le permite expresar ideas o convicciones libremente con relación a la materia objeto de enseñanza”, permite también al docente implementar metodologías y procesos de evaluación propios.

Así, en una asignatura basada en metodologías didácticas constructivistas y con evaluación continua, los resultados académicos de los alumnos pueden llegar a ser radicalmente distintos a los de la misma materia en grupos con docencia expositiva basada en lecciones magistrales y exámenes finales.

La implantación del Proceso Bolonia ha permitido unificar el sistema de educación superior en tres ciclos (Grado/Bachelor, Máster y Doctorado). Pero, a diferencia de la enseñanza preuniversitaria, con temarios y planes de estudio relativamente homogéneos, la heterogeneidad entre planes de estudios de una misma carrera (a nivel nacional y europeo) y la variabilidad interuniversitaria de temarios de una misma asignatura dificulta la comparación de resultados académicos entre centros.

En este sentido, los estudios que evalúan la incidencia de dispositivos electrónicos en las aulas arrojan conclusiones contradictorias. Los factores que más inciden en dichos resultados se relacionan fundamentalmente con las aptitudes del profesorado y el enfoque que éste da a la docencia.



Leer más:
Cómo es un buen docente universitario

¿Y los estudiantes qué opinan?

Para evaluar la percepción del estudiantado sobre el uso de dispositivos electrónicos en el aula, desde 2020 venimos realizando en la Escuela Técnica Superior de Ingenierías Agrarias de Palencia (Universidad de Valladolid) encuestas anónimas entre todos los estudiantes de grado. Preguntas de valoración sobre el uso de las TIC en clase (¿consideras positivo en el aprendizaje el uso de dispositivos electrónicos?, ¿distraen más que aportan?, ¿ayudan a afrontar escenarios de la vida real?, etc), se confrontan con cuestiones asociadas a la metodología docente (magistral, basada en proyectos, …), su evaluación, las aptitudes del profesorado, el curso, el número de asignaturas repetidas, etc.

Los resultados arrojan conclusiones muy interesantes. Entre otras cosas, destaca la alta valoración (cuatro sobre cinco) que los estudiantes de todos los cursos hacen del uso del PC en el aula. Se correlaciona muy fuertemente la alta valoración en esta respuesta con una elevada puntuación en la pregunta “la clave del éxito del aprendizaje con PCs en clase está en el enfoque que el docente da a la asignatura y en su forma de impartir la docencia”. Así, el 90 % de los estudiantes que valora con más de un cuatro el uso del PC en clase considera que la clave está en la actitud y conocimiento del profesorado.

Resalta también una más alta percepción positiva en cursos superiores y la consideración favorable del uso de TIC para asignaturas tecnológicas o aplicadas. Con independencia del curso y del rendimiento académico, se concluye que existe también la percepción de que los dispositivos electrónicos pueden conducir a una falta de atención y distracción, si bien los encuestados encuentran que esto está muy correlacionado con el grado de madurez del alumno.

Cabe resaltar también que el porcentaje de mujeres que cumplimentan anualmente la encuesta es significativamente superior al de estudiantes varones. Se puede inferir que el grado de implicación en acciones de mejora de la universidad de las estudiantes es superior al de sus compañeros y son más proclives a utilizar una parte de su tiempo en llevar a cabo acciones colaborativas en este sentido.

Adaptarse al uso de dispositivos

La encuesta continúa con la pregunta sobre las medidas a tomar por parte de la Universidad para mejorar el aprendizaje con dispositivos electrónicos en clase. Mayoritariamente vuelve a aparecer la necesidad de mejorar las aptitudes y capacidades docentes del profesorado y la necesidad de mejorar la conectividad wifi (EDUROAM) en las aulas.

En nuestro caso, la digitalización de las aulas implicó importantes medidas de adecuación de las aulas como fueron la renovación del antiguo mobiliario anclado al suelo, la adaptación eléctrica de las aulas instalando enchufes en todas las mesas, el refuerzo de la conectividad wifi (EDUROAM) y el cambio de iluminación. El proyecto de adecuación de los espacios se denominó “Del Aula de Informática al Aula Informatizada” con el que se afrontó el reto de pasar de unas pocas aulas de informática, mantenidas por el centro, a la digitalización completa de todas las aulas.

Nuestro estudio muestra que la adaptación didáctica a las realidades y demandas de la sociedad no debe centrarse únicamente en la pregunta “¿Ordenadores en clase sí o no?”. Más bien la cuestión fundamental –¡y un gran reto!– sería : ¿cómo innova y adapta el profesorado su docencia para lograr alcanzar un óptimo uso de la tecnología en el aula?

Concluye nuestro cuestionario con la pregunta: ¿Recomendarías continuar con el esfuerzo de mejorar el uso de dispositivos electrónicos individuales en las aulas? Una valoración final de 4,4 (sobre cinco) muestra claramente los pasos a seguir por la universidad en esta materia.

José A. Reque Kilchenmann no recibe salario, ni ejerce labores de consultoría, ni posee acciones, ni recibe financiación de ninguna compañía u organización que pueda obtener beneficio de este artículo, y ha declarado carecer de vínculos relevantes más allá del cargo académico citado.

Categorías
Uncategorized

Las ‘esposas tradicionales’ toman internet: ¿quiénes son y qué defienden?

En ‘Mrs. America’, Cate Blanchett interpreta a la activista conservadora Phyllis Schlafly, líder de la lucha contra el movimiento por la igualdad de derechos en la década de 1970. IMDB

Es muy probable que si en alguna ocasión ha dado “me gusta” a algún post de Instagram o TikTok con recetas de cocina, decoración o manualidades el algoritmo le haya sugerido más contenido producido por las llamadas “esposas tradicionales” (tradwives).

Las esposas tradicionales son un movimiento con presencia mayoritaria en internet que aboga por un estilo de vida organizado en torno a una visión concreta de la familia, el hogar o la religión. Si bien es un fenómeno globalizado, surge en los países anglófonos (especialmente Reino Unido y Estados Unidos) y ha incrementado su presencia en línea a partir de la pandemia de 2020 y el movimiento #MeToo.

La corriente de las esposas tradicionales se sustenta sobre dos pilares básicos: su vinculación con el entorno doméstico y su rechazo a los principios de algunas corrientes del feminismo actual.

Estos se articulan a su vez en torno a una idea compartida de lo que significa el término “tradicional”. Sin embargo, el uso de un adjetivo como “tradicional” para definir al movimiento conlleva un alto grado de abstracción. En el diccionario, declara referirse a valores y costumbres que han existido durante un largo tiempo sin haber cambiado, o contrasta los métodos antiguos con los más modernos.

Pero ¿a qué valores y costumbres nos referimos? ¿Cómo acotamos el largo periodo de tiempo? ¿En qué momento establecemos el contraste entre antiguo y moderno? Estas preguntas muestran que el significado de un término no es único y universal, sino que es variable y viene determinado por factores contextuales, entre ellos quiénes o cuándo lo emplean.

Una ‘lengua’ común

El uso de un vocabulario compartido –tanto en la forma como en el significado– es uno de los rasgos que caracteriza la creación de comunidades en el entorno digital.

Estas “comunidades de práctica” comparten patrones de comunicación. Y, además, su uso refleja valores y creencias. En este caso, la esposa tradicional prototípica es una mujer blanca de clase media-alta y de religión cristiana. Su concepto de feminidad está vinculado a una apariencia física cuidada al detalle y a atributos personales como la dulzura, la compasión y el continuo deseo de satisfacer las necesidades y deseos de su familia.

El uso del término en esta comunidad define un concepto muy concreto: autodefinirse como “tradicional” presupone el anclaje al entorno doméstico. Esto se ve en la caracterización de la mujer como creadora del hogar (homemaker) o madre que se queda en casa (stay at home mum, o SAHM).

También se percibe en el énfasis que se hace de la mujer a partir de su matrimonio con un hombre, presente en el término wife (esposa). Vemos, pues, que las esposas tradicionales defienden su derecho a renunciar a un trabajo fuera de casa y a buscar su realización personal dentro de la esfera doméstica a través de su dedicación absoluta al marido e hijos. En algunas facciones del movimiento se señala, además, la necesidad de sumisión –en términos como submissive wife– y se justifica esta creencia a través de referencias a la Biblia como fuente de autoridad moral.

En muchas ocasiones el significado de “tradicional” se enmarca también en un retorno nostálgico a la década de 1950, un momento de prosperidad económica en EE. UU. marcado por un gran conservadurismo y en el que la familia ocupaba un lugar nuclear.

Oposición al feminismo

La teoría de la identidad social explica que los movimientos sociales se construyen a a través de la autocaracterización y el uso de códigos lingüísticos compartidos. Sin embargo, no sólo esto es importante. Con frecuencia, la identidad se construye a través de la comparación u oposición a otros grupos.

Las tradwives se comparan fundamentalmente con el feminismo actual. Su oposición se ve claramente en el uso de metáforas de guerra para presentarse, como el “ejército vestido con delantal” (#ApronCladArmy). Las esposas tradicionales se muestran explícitamente a favor del patriarcado y en contra del feminismo. A éste lo consideran un “cáncer” del que hay que curar a la sociedad y lo contraponen a su concepto de feminidad mediante declaraciones como “femenina no feminista” (feminine not feminist), #RipFeminism o “alimenta el patriarcado” (feed the patriarchy).

El movimiento tradwife, o algunas de sus facciones, también se ha asociado con la llamada alt-right, un movimiento blanco y nacionalista asociado a la extrema derecha. Algunos estudios consideran también la influencia de las esposas tradicionales en las redes sociales como medio de reclutamiento de simpatizantes para su causa.

La comunicación en redes

Varios de los términos que hemos ido mencionando en este texto se encuentran en las etiquetas incluidas en las publicaciones en redes sociales de mujeres que se definen como tradwives o que promueven ese estilo de vida.

La cuestión no es baladí, ya que dichas etiquetas tienen varias funciones discursivas: a través de ellas los usuarios enmarcan sus publicaciones en una comunidad, creando así relaciones con otros usuarios, a la vez que presentan en su discurso su visión del mundo. Como hemos señalado antes, esta visión no sólo refleja las experiencias vitales de los usuarios en la conceptualización del término “tradicional”. Además, facilita la transmisión de valores y visiones subjetivas, fundamentalmente a través de la oposición con otros.

Esta doble función representativa e interpersonal se observa también en las imágenes que acompañan los posts en redes sociales. Las fotografías o ilustraciones de los años 1950 señalan el significado de “tradicional” en ese contexto: mujer anclada en el momento histórico añorado, centrada en el espacio doméstico, con una estética definida por el uso de vestidos y pelo largo –generalmente de raza blanca– y definida por su relación con otras personas (marido o hijos).

En una sociedad eminentemente visual, es innegable el atractivo estético que ofrecen las esposas tradicionales. Muestran sus casas impolutas –casi irreales–, realizan recetas de cocina tan deliciosas como perfectas, ejecutan sofisticadas manualidades y protagonizan idílicas escenas familiares en donde los hijos y el marido interpretan los papeles centrales. Como hemos mencionado antes, es frecuente que los textos que acompañan esas imágenes contengan citas bíblicas como referentes, especialmente los que se refieren al núcleo familiar o al amor entre los esposos.

Instagram es una de las redes sociales en las que se encuentra el movimiento. La simbología que utilizan en ella ayuda a transmitir de manera efectiva su concepto del término “tradicional”.

En la era de la polarización, las esposas tradicionales emergen con fuerza representando a un prototipo de mujer radicalmente opuesto al que defienden ciertas corrientes de un feminismo combativo y militante. Pero que no nos confunda el uso del adjetivo “tradicional”.

Si bien quienes pertenecen a esta comunidad se alinean en torno a una comprensión similar del término, las tradwives florecen en el ecosistema digital. Son mujeres de su tiempo y buena prueba de ello es su uso magistral de las redes sociales como herramienta para diseminar su ideología y expandir su esfera de influencia.

Laura Filardo Llamas coordina el Grupo de Investigación Reconocido en Estilística Cognitiva (UVA) y es miembro del Grupo de Acción ICON del Campus Íberus.

Carmen Aguilera Carnerero es miembro de FRAN.

Categorías
Uncategorized

¿Veremos más o menos orugas procesionarias debido al cambio climático?

Orugas de procesionaria descendiendo por la corteza de un pino. Gabriel Sangüesa, Author provided

La escena de una fila de orugas descendiendo por un tronco es un claro ejemplo de situación en la que aplicar la famosa frase “se mira, pero no se toca”. Pero si dejamos de lado la incomodidad que causan los pelos urticantes de las orugas de procesionaria, podemos explorar un ciclo de vida fascinante. ¡Estos animales son capaces incluso de renacer!

Un factor determinante para la supervivencia de esta especie es la temperatura, por eso el cambio climático está produciendo variaciones en su presencia durante diferentes épocas del año.

Una vida de continuos cambios

El ciclo de vida de la procesionaria comienza durante el verano, cuando la polilla adulta hembra deposita hasta 300 huevos en acículas de pinos o cedros. Se trata de un proceso que dura hasta 48 horas. Los huevos pasarán allí poco más de un mes (de 30 a 40 días) hasta que aparezcan las primeras orugas.


Polilla adulta de procesionaria en período de puesta de huevos.
José Miguel Olano

Estas orugas vivirán en grupo desde el otoño hasta el final del invierno o comienzos de la primavera. Durante ese tiempo, atravesarán cinco fases de desarrollo. Para muchos pasarán desapercibidas hasta que en los meses más fríos comiencen a formar unos bolsones blancos en las copas de los árboles.

Se trata de nidos para resguardarse de depredadores. También para protegerse de las bajas temperaturas, porque su desarrollo y supervivencia están muy limitados por las condiciones climáticas. La procesionaria desarrolla gran parte de su ciclo vital en el período más frío del año y se alimenta por la noche.


Pinos con nidos de procesionarias.
Gabriel Sangüesa

En las últimas fases de su ciclo vital las orugas desarrollan diminutos pelos urticantes, que miden menos de 1 milímetro. Son su mecanismo de defensa. Al final del invierno o inicio de la primavera bajan de los árboles para enterrarse en el suelo. Entonces forman esas llamativas hileras o procesiones, de ahí su nombre común.

En el suelo, las pupas transforman su estructura y fisiología mediante el proceso biológico de la metamorfosis. Este proceso dará lugar a nuevas polillas adultas que comenzarán de nuevo el ciclo el siguiente verano.

Pero esto no siempre sucede. Al llegar el verano, algunos individuos no despiertan y siguen enterrados, un proceso que puede durar varios años. Este mecanismo, común en otras especies, permite a la procesionaria reducir el riesgo que supondría que toda la población sucumbiese a un año muy malo.

Los efectos del cambio climático

No es fácil comprender cómo las especies con ciclos de vida complejos responderán al cambio climático. Los inviernos templados están permitiendo a la procesionaria desplazarse hacia el norte o ascender en altitud en algunos macizos montañosos. Sin embargo, aún quedan aspectos por conocer en relación a cómo afectará el cambio climático al resto de su ciclo de vida.

El cambio climático conlleva un aumento de las temperaturas medias. También va asociado a un incremento de su variabilidad y de los fenómenos extremos como sequías y olas de calor. En un trabajo reciente hemos comprobado que las olas de calor en verano afectan negativamente a las poblaciones de procesionaria.

El proceso biológico se conocía experimentalmente. Las temperaturas elevadas reducen las tasas de eclosión de los huevos y las primeras fases de desarrollo larvario. Nosotros lo hemos analizado con cientos de datos de abundancia de procesionaria en una área extensa de la península ibérica.

El impacto negativo de las olas de calor es de magnitud similar al efecto positivo del aumento de las temperaturas invernales. Este trabajo se ha podido desarrollar gracias a los datos aportados por redes de seguimiento de Andalucía, Castilla-La Mancha y Navarra.

Parece una paradoja. Temperaturas más elevadas permiten la expansión de la procesionaria en invierno, pero si son extremas, le afectarán negativamente en verano. Esto reduce el número de individuos en el siguiente otoño.



Leer más:
La procesionaria del pino es un síntoma, no un problema

Necesitamos saber más

Parece que estamos viviendo un cambio en la distribución de la procesionaria. No obstante, hay que contextualizar el momento actual con el pasado. Se requiere una información amplia y de calidad. La inversión de los servicios forestales en seguimiento de enfermedades y plagas de insectos proporciona bases de datos sólidas en España.

La ciencia es colaborativa y se vale del esfuerzo de décadas de seguimiento por parte de los agentes forestales. Sin embargo, debemos ir más atrás en el tiempo. En el proyecto PROWARM queremos ampliar el marco temporal y espacial para saber qué ha pasado y qué está pasando.

Rastrear las defoliaciones de procesionaria es posible mediante datos adquiridos por sensores montados en satélites, aviones o drones. Nos ayudan a detectar dónde y cuándo se ha producido una defoliación.

Además, existen sensores que proporcionan información en tres dimensiones y nos permiten determinar cambios en las copas de los árboles. Se trata de crear réplicas digitales de los bosques para favorecer un seguimiento en tiempo cuasi real.


Imagen RGB capturada mediante dron en la que se observan las defoliaciones de procesionaria y algunos bolsones.
Francisco Rodríguez-Puerta y Darío Domingo

Los anillos de crecimiento de los árboles también proporcionan información sobre cuándo y con qué intensidad han sido afectados por la procesionaria. Cuando la procesionaria se alimenta de las acículas de los pinos o cedros, estos generan anillos de crecimiento muy estrechos.

La necesidad de regenerar su copa tras la defoliación hace que el árbol dedique sus nutrientes a producir nuevas acículas. Por contra, su crecimiento en grosor se reduce. Identificar esas señales en el crecimiento de los árboles, que sabemos que pueden vivir cientos de años, nos aportará una visión muy completa de la evolución de este animal a lo largo del tiempo.


Fotografía de anillos de crecimiento en pino realizada con CaptuRING®. El crecimiento reducido en el año 1905 se debe a la defoliación por procesionaria.
Héctor Hernández-Alonso

La fascinación que generan las hileras de procesionaria nos han llevado a algunos expertos a investigar sobre su vida y su comportamiento. Comprender su biología y ecología es fundamental para aprender a convivir con ella. Al fin y al cabo, la procesionaria es una especie endémica de los bosques mediterráneos.

Dario Domingo recibe fondos de European Union-Next Generation EU Margarita Salas (MS-240621).

Gabriel Sangüesa Barreda recibe fondos del Ministerio de Ciencia, Innovación y Universidades y la Agencia Estatal de Investigación (PID2020-118444GA-I00 y CNS2022-135319 con fondos Unión Europea NextGenerationEU/PRTR).

Cristina Gómez Almaraz y José Miguel Olano no reciben salarios, ni ejercen labores de consultoría, ni poseen acciones, ni reciben financiación de ninguna compañía u organización que pueda obtener beneficio de este artículo, y han declarado carecer de vínculos relevantes más allá del puesto académico citado.

Categorías
Uncategorized

O problema dos três corpos: uma solução matemática além da série da Netflix

Ilustração do sistema HD110067, com seis planetas: série não é a primeira obra de ficção que se disfarça de ciência sem de fato falar sobre ciência, e se alguém espera encontrar uma resposta para o problema dos n-corpos nela, é melhor ficar longe Thibaut Roger/NCCR PlanetS, CC BY-SA

O problema dos n-corpos foi apresentado pela primeira vez na competição de aniversário patrocinada pelo Rei Oscar II da Suécia para comemorar seus 60 anos, em 1889. Um problema que, um século e meio depois, ainda não foi resolvido. E que ninguém espere que a série da Netflix que o integra à ficção resolva.

Antes da Netflix


The Three-Body Problem, de Catherine Shaw, pseudônimo da pesquisadora de teoria dos números Lila Schneps

Em 2004, um romance policial intitulado A Incógnita Newton foi publicado na Espanha. Seu título original era The Three Body Problem e seu enredo gira em torno da morte misteriosa de três matemáticos que trabalhavam na solução do famoso problema dos n-corpos. Esse romance, escrito por Catherine Shaw, é muito interessante do ponto de vista da popularização da matemática.

Dois anos depois desse primeiro romance, a primeira parte de uma trilogia de ficção científica do escritor chinês Liu Cixin foi publicada com o mesmo título, The Three-Body Problem. E foi seu trabalho que deu origem à série da Netflix que promete se tornar um dos fenômenos de mídia mais relevantes da temporada. Por trás dela estão os produtores do também famoso Game of Thrones, David Benioff e Daniel Brett Weiss.

Ficção sim, ciência nem tanto

O título da série e do romance faz alusão ao comportamento de Trisolaris, um planeta enigmático que orbita em um sistema com três estrelas, criando um caos gravitacional que resulta em ciclos de extremos climáticos imprevisíveis. O planeta Trisolaris (“com três sóis”) passa alternadamente por estágios de vida estáveis, semelhantes aos da Terra, e por estações caóticas e infernais, em que em poucos segundos a temperatura pode se alterar em centenas de graus, tornando-se um inferno.

Na ficção, há um jogo de realidade virtual chamado Three Bodies (“Três Corpos”) que simula o comportamento de três corpos com campos gravitacionais erráticos, o que está acontecendo no sistema trissolariano. Explicar como eles se comportam poderia resolver seus problemas climáticos. Mas os matemáticos, na vida real, não conseguem encontrar uma solução para o problema, e a proposta um tanto despretensiosa da série é que um nerd de videogame tem mais sorte.

Não é a primeira obra de ficção que se disfarça de ciência sem de fato falar sobre ciência. Se alguém espera encontrar uma resposta para o problema dos n-corpos, é melhor ficar longe.

Agora, vamos aos detalhes matemáticos.

O problema do sistema trissolariano

O problema consiste em determinar o movimento de três corpos sob gravidade mútua. O movimento dos três pode ser caótico ou regular e pode terminar em uma desintegração do sistema. A busca por possíveis soluções motivou a análise e o estudo de uma parte muito importante da matemática, sistemas dinâmicos (a Teoria do Caos é um exemplo, dentro dos casos de dinâmica não linear), que atualmente levanta uma infinidade de questões em aberto no processo de pesquisa.

O primeiro a estudá-las foi Newton. Graças às suas leis, dados dois corpos de qualquer massa, sujeitos à atração gravitacional mútua e partindo de determinadas posições e velocidades, podemos determinar, a qualquer instante, suas posições e velocidades. Se o Sistema Solar fosse composto pelo Sol e um único planeta, o planeta seguiria uma órbita elíptica e poderíamos determinar exatamente onde ele estaria a qualquer momento. Mas quando o sistema é composto por mais de dois corpos, a solução das equações de movimento se torna realmente complicada.

Três corpos e os asteroides troianos

Para três corpos, os matemáticos descobriram um pequeno número de casos especiais em que as órbitas das três massas são periódicas.

Em 1765, Leonhard Euler conseguiu descrever matematicamente um modelo no qual três massas começam em uma linha e giram para permanecer alinhadas. Entretanto, esse conjunto de órbitas é instável e não pode ser encontrado em nenhum lugar do Sistema Solar.

Em 1772, Joseph-Louis Lagrange identificou uma órbita periódica na qual três massas se encontram nos vértices de um triângulo equilátero. Nesse caso, cada massa se move em uma elipse de modo que o triângulo formado pelas três sempre permanece equilátero. Os chamados asteroides troianos de Júpiter se movem de acordo com esse esquema. Eles formam um triângulo com Júpiter e o Sol. Até 2021, já foram descobertos 9,8 mil asteroides troianos de Júpiter.

Posteriormente, Henri Poincaré e outros mostraram que é impossível obter uma solução geral, expressa como uma fórmula explícita, para o problema de três corpos. Ou seja, se forem dados três corpos em uma configuração aleatória, não é possível prever com precisão a trajetória que eles seguirão.

A órbita da figura oito


A órbita em forma de oito para o problema de três corpos. Animação de Michael Nauenberg, Professor Emérito de Física da Universidade da Califórnia, Santa Cruz.

Em 1993, Christopher Moore descobriu, por meio de cálculos de computador, que três massas iguais podem se perseguir mutuamente em torno da mesma curva em forma de oito no plano. E, em 2000, os matemáticos Richard Montgomery (University of California at Santa Cruz) e Alain Chenciner (Université Paris VII-Denis Diderot) redescobriram a órbita em forma de oito descrita por Moore e encontraram uma solução exata para as equações de movimento de três corpos que interagem gravitacionalmente.

Carlès Simò (Universidade de Barcelona) demonstrou, por meio de simulações em computador, que a órbita em forma de oito é estável, que persiste mesmo quando as três massas não são exatamente iguais e que pode sobreviver a uma pequena perturbação sem sofrer sérios distúrbios.

Sistemas planetários extrassolares

A possibilidade de que esse sistema de três corpos exista em algum lugar do Universo é muito pequena. Entretanto, a descoberta de sistemas planetários extrassolares incomuns abre novos cenários de espaço-tempo nos quais esses movimentos poderiam ocorrer.

A existência da órbita em forma de oito de três corpos levou os matemáticos a procurar órbitas semelhantes envolvendo mais massas.

Simò encontrou centenas de soluções exatas para o caso de n massas iguais atravessando uma curva plana fixa, embora elas não sejam estáveis. As órbitas tridimensionais também foram modeladas. Essas estruturas e suas trajetórias periódicas foram chamadas de “coreografias”.

Assim, se a ficção for permitida, o sistema trissolariano poderia ser composto de planetas que descrevem uma órbita em forma de “oitos”, mas isso é algo que a série da Netflix não nos dirá.

Alfonso Jesús Población Sáez não presta consultoria, trabalha, possui ações ou recebe financiamento de qualquer empresa ou organização que poderia se beneficiar com a publicação deste artigo e não revelou nenhum vínculo relevante além de seu cargo acadêmico.

Categorías
Uncategorized

El problema de los tres cuerpos: la solución matemática que no recoge la serie de Netflix

El problema de los tres cuerpos consiste en determinar el movimiento de tres cuerpos sometidos a la gravedad mutua. Esta ilustración representa los seis planetas del sistema HD110067, que crean juntos un fascinante patrón geométrico. Thibaut Roger/NCCR PlanetS, CC BY-SA

El problema de los n-cuerpos se planteó por primera vez en el concurso aniversario patrocinado por el rey Oscar II de Suecia para celebrar el sexagésimo aniversario de su nacimiento, que tuvo lugar en 1889. Y es un problema que siglo y medio después no ha logrado resolverse. Que nadie espere que lo resuelva la serie de Netflix que lo integra en la ficción.

Antes de Netflix


El problema de los tres cuerpos, de Catherine Shaw, pseudónimo de la investigadora en teoría de números Lila Schneps.

En el año 2004 se publicó en España una novela de crímenes titulada La incógnita Newton. Su título original era The three body problem (El problema de los tres cuerpos) y su argumento gira en torno a la misteriosa muerte de tres matemáticos que trabajan en la búsqueda de la solución al famoso problema de los n-cuerpos. Esta novela, firmada por Catherine Shaw, es muy interesante desde el punto de vista de la divulgación matemática.

Dos años después de esta primera novela se publicó la primera parte de una trilogía de ciencia ficción del escritor chino Liu Cixin con el mismo título, El problema de los tres cuerpos. Y su obra es la que ha dado lugar a la serie de Netflix que promete convertirse en uno de los fenómenos mediáticos más relevantes de la temporada. Detrás están los productores de la también célebre Juego de Tronos, David Benioff y Daniel Brett Weiss.

Ficción sí, ciencia no tanta

El título de la serie y de la novela hace alusión al comportamiento de Trisolaris, un enigmático planeta que orbita en un sistema de tres estrellas, creando un caos gravitatorio que da lugar a ciclos de extremos climáticos impredecibles. El planeta Trisolaris (con tres soles) padece alternativamente etapas estables, con vida similar a la terrestre, y estaciones caóticas e infernales, en las que en unos segundos la temperatura puede alterarse en cientos de grados, lo que lo convierte en un infierno.

En la ficción, hay un juego de realidad virtual que se llama Tres Cuerpos que simula el comportamiento de tres cuerpos con campos gravitacionales erráticos, lo que está ocurriendo en el universo trisolariano. Explicar cómo se comportan podría solucionar sus problemas climáticos universales. Pero los matemáticos, en la vida real, no encuentran solución al problema, y la propuesta un tanto naif de la serie es que un friki de los videojuegos tiene más suerte.

No es la primera obra de ficción que se reviste de ciencia como tirón, sin que hable de ciencia. Si alguien espera encontrar respuesta al problema de los n-cuerpos, mejor que no se acerque.

Ahora, vamos al meollo matemático.

El problema del universo trisolariano

El problema consiste en determinar el movimiento de tres cuerpos sometidos a la gravedad mutua. El movimiento de los tres puede ser caótico o regular, y puede terminar en una desintegración del sistema. Buscar soluciones posibles ha motivado el análisis y estudio de una parte importantísima de la matemática, los sistemas dinámicos (la teoría del caos es un ejemplo, dentro de los casos de dinámica no lineal), que en la actualidad plantea multitud de cuestiones abiertas en proceso de investigación.

El primero en estudiarlos fue Newton. Gracias a sus leyes, dados dos cuerpos de cualquier masa, sometidos a atracción gravitacional mutua y partiendo de unas posiciones y velocidades dadas, podemos determinar, en cualquier instante, sus posiciones y velocidades. Si el sistema solar estuviera formado por el Sol y un único planeta, este seguiría una órbita elíptica y podríamos determinar con exactitud dónde va a encontrarse en cualquier momento. Pero cuando el sistema consta de más de dos cuerpos, resolver las ecuaciones de movimiento resulta realmente complicado.

Tres cuerpos y el caso de los asteroides troyanos

Para tres cuerpos, los matemáticos han encontrado un pequeño número de casos especiales en los que las órbitas de las tres masas son periódicas.

En 1765, Leonhard Euler pudo describir con matemáticas un modelo en el que tres masas comienzan en línea y giran para permanecer alineadas. Sin embargo, tal conjunto de órbitas es inestable y no se encuentran en ningún lugar del sistema solar.

En 1772, Joseph-Louis Lagrange identificó una órbita periódica en la que tres masas se encuentran en los vértices de un triángulo equilátero. En este caso, cada masa se mueve en una elipse de tal forma que el triángulo formado por las tres siempre permanece equilátero. Los llamados asteroides troyanos de Júpiter se mueven de acuerdo a este esquema. Forman un triángulo con Júpiter y el Sol. Hasta 2021 se han descubierto 9 800 asteroides troyanos de Júpiter distintos.

Posteriormente, Henri Poincaré y otros demostraron que, en general, es imposible obtener una solución general, expresada como una fórmula explícita, al problema de los tres cuerpos. Es decir, dados tres cuerpos en una configuración aleatoria, no se puede predecir con precisión qué trayectoria seguirían.

La órbita en forma de ocho


La órbita en forma de ocho para el problema de los 3 cuerpos. Animación de Michael Nauenberg, profesor emérito de Física de la Universidad de California en Santa Cruz.

En 1993, Cristopher Moore, descubrió, mediante cálculos informáticos, que tres masas iguales pueden perseguirse alrededor de la misma curva en forma de ocho en el plano. Y en el año 2000, los matemáticos Richard Montgomery (Universidad de California en Santa Cruz) y Alain Chenciner (Universidad París VII-Denis Diderot) redescubrieron la órbita en forma de ocho descrita por Moore, y encontraron una solución exacta a las ecuaciones de movimiento para tres cuerpos que interactúan gravitacionalmente.

Carlès Simò (Universidad de Barcelona) ha demostrado mediante simulaciones por ordenador que la órbita en forma de ocho es estable, que persiste incluso cuando las tres masas no son exactamente iguales y puede sobrevivir a una pequeña perturbación sin alteraciones graves.

Los sistemas planetarios extrasolares

La posibilidad de que exista un sistema de tres cuerpos así en algún lugar del universo es muy pequeña. Sin embargo, el descubrimiento de sistemas planetarios extrasolares inusuales abre nuevos escenarios espacio-temporales en los que podrían producirse tales movimientos.

La existencia de la órbita en forma de ocho de tres cuerpos ha llevado a los matemáticos a buscar órbitas similares que involucraran más masas.

Simò ha encontrado cientos de soluciones exactas para el caso de n masas iguales que recorren una curva plana fija, aunque no son estables. También se han modelizado órbitas tridimensionales. A estas estructuras y sus trayectorias periódicas se las ha bautizado como coreografías.

Así, admitiendo la ficción, el universo trisolariano podría estar formado por planetas que describen una órbita de ochos, pero esto es algo que no va a contar la serie de Netflix.

Alfonso Jesús Población Sáez no recibe salario, ni ejerce labores de consultoría, ni posee acciones, ni recibe financiación de ninguna compañía u organización que pueda obtener beneficio de este artículo, y ha declarado carecer de vínculos relevantes más allá del cargo académico citado.

Categorías
Uncategorized

Lo que cuentan las nominadas al Óscar 2024

Varios ganadores del Óscar en ediciones pasadas muestran sus trofeos. Featureflash Photo Agency/Shutterstock

Con motivo de la próxima gala de los Premios Óscar, el 10 de marzo, le hemos pedido a diez expertos en los temas que tratan cada una de las candidatas a Mejor Película que nos hagan una breve reseña sobre ellas. Estas son sus conclusiones.

Escribir sobre los estereotipos en American Fiction

La cuestión de la inclusividad en los Óscar está siendo un debate polémico en los últimos años. Que este año esté American Fiction entre las diez nominadas a mejor película parece una reflexión tan pertinente y, al mismo tiempo, irónica como lo es el propio film.

Basada en la novela Erasure de Percival Everett, la película plantea cuestiones como la inclusividad real que existe detrás de la representación estereotipada de una comunidad (en este caso la afroamericana) en el arte si dicha representación deja fuera a parte de dicha comunidad e incluso puede resultar ofensiva para quienes no se sienten identificados con ella.


Sterling K. Brown, Jeffrey Wright y Erika Alexander en una imagen de American Fiction, de Cord Jefferson.
FilmAffinity

Es decir, ¿es una historia “negra” el relato de una familia afroamericana de clase media con una casa en la playa? ¿O solo lo es la de una banda violenta del gueto? “Es primordial escuchar a las voces negras ahora” se dice repetidamente en la película. Pero al mismo tiempo se cuestiona qué deben contar exactamente esas voces y quién tiene la autoridad moral para contar ciertas historias.

Esas son las preguntas que le surgen al protagonista, Thelonious Ellison, para las que la respuesta no puede ser –perdonen el juego de palabras– blanca ni negra. El propio Ellison llega a esa conclusión tras escribir una novela con la estereotipación que él desprecia. Sí, dicha representación no es realmente inclusiva; sí, esas historias pueden ser contadas y consumidas por personas ajenas a esa realidad. Pero también siguen siendo lo que la sociedad demanda.

Quizá, propone American Fiction, la pregunta pertinente no es tanto si la representación es necesaria, o si dicha inclusión es real o forzada, sino el porqué de esa demanda. ¿Podemos acallar nuestras conciencias mientras damos visibilidad a problemas reales pero estereotipados? Cada uno que juzgue por sí mismo.

Patricia San José Rico, profesora de Filología Inglesa especializada en el estudio del trauma en la literatura afroamericana contemporánea, Universidad de Valladolid.

No es ser inocente, sino probarlo en Anatomía de una caída

Bien podía la directora Justine Triet haber titulado su obra “Anatomía de un proceso” pues toda la cinta encierra una interesante reflexión sobre relevantes conceptos procesales: presunción de inocencia, garantías para entender el proceso y ser entendido en él, relevancia de la actividad probatoria, prueba indiciaria, acusación y defensa, principio in dubio pro reo (es decir, ante la duda, a favor del reo)…


Swann Arlaud y Sandra Hüller en un fotograma de Anatomía de una caída, de Justine Triet.
IMDB

Prácticamente los 150 minutos de la película se centran en el juicio a Sandra, no solo juzgada por el hecho que se le imputa sino por todo: por su forma de entender la pareja, por su manera de vivir la maternidad, por sus preferencias sexuales, por su dedicación al trabajo…

Sandra debe demostrar su inocencia en un ejercicio de activa defensa, aunque en los ordenamientos modernos corresponda a la acusación la carga de probar la culpabilidad más allá de toda duda. El proceso contra Sandra se convierte en un lugar donde se analizan todos los aspectos de su vida y peculiar personalidad. Todo parece estar en su contra, porque la acusación sabe que, si no tiene éxito, no se producirá la condena.

Sin embargo, lo que queda probado en el juicio del filme no es su culpabilidad o inocencia, sino otra idea: no es lo que sabemos que somos, sino cómo aparecemos ante el juzgador.

Rosa Rodríguez Bahamonde, profesora de Derecho Procesal, Universidad de Las Palmas de Gran Canaria.

El feminismo neoliberal de Barbie

Como millennial, he crecido jugando con Barbie. Por eso, al igual que muchas mujeres de mi generación, acudí a la sala de cine con curiosidad por comprobar cómo se las habría ingeniado Greta Gerwig, directora y coguionista de la película, para no caer en la perpetuación de un discurso patriarcal a la hora de representar a la muñeca de Mattel.


Margot Robbie, de espaldas, en un fotograma de Barbie, de Greta Gerwig.
FilmAffinity

La película sorprende por la capacidad de la directora para humanizar a Barbie, que deja de ser un objeto para convertirse en un sujeto sintiente. Gerwig acaba con el sueño ideal de Barbie, la despoja de su falsa alegría mostrando que los ideales de belleza y forma de vida que proyecta son inalcanzables.

¿Supone esta reconfiguración de Barbie la muerte del sueño americano? Quizás sí, pero lo cierto es que Gerwig no escapa a la reproducción de los ideales postfeministas y neoliberales centrados en la autosuperación y la creencia de que los problemas colectivos han de superarse individualmente. Es una buena película para echar unas risas mientras vemos cómo el capitalismo avanza y se reapropia de los últimos reductos de lucha social, como el feminismo.

María Medina-Vicent, profesora de Filosofía y estudiosa de la teoría política feminista, Universitat Jaume I.

La banalidad del mal de La zona de interés

La película refleja de forma diáfana el concepto “la banalidad del mal”, acuñado por Hannah Arendt en su libro sobre el nazi Adolf Eichmann. Lo hace a través de la actitud que adoptan los integrantes de la familia del comandante de Auschwitz durante la segunda guerra mundial, en un hogar idílico que, prácticamente, comparte pared con el campo de concentración.


Sandra Hüller en una escena de La zona de interés, de Jonathan Glazer, en el hogar de la familia protagonista pegado al campo de concentración.
FilmAffinity

El director, Jonathan Glazer, concede todo el protagonismo a la vida cotidiana que transcurre, serena y apacible, a este lado de la alambrada, ignorando los gritos y sonidos de una máquina de tren que se perciben (porque nunca se ven) al otro lado del muro.

La escena de la esposa probándose un vestido de una mujer judía y pintándose los labios con una barra encontrada en el bolsillo de un abrigo de piel, o la diversión de uno de sus hijos pequeños jugando con muelas de oro, dejan patente la indiferencia de la familia, su frialdad y falta de compasión.

La banalidad del mal cobra fuerza igualmente en el comportamiento del marido, Rudolf Hess, quien, carente de sensibilidad y conciencia moral, abusa sexualmente de una prisionera y se despreocupa por las consecuencias de sus deseos. Como si el exterminio y la incineración –que son sugeridos a través del humo incesante de la chimenea– no tuvieran que ver nada con él.

Francisco Javier Blázquez Ruiz, catedrático de Filosofía del Derecho, Bioética e Inteligencia Artificial, Universidad Pública de Navarra.

La responsabilidad de conocer el pasado en Los asesinos de la luna

Martin Scorsese nos plantea en Los asesinos de la luna un drama histórico ubicado en la Oklahoma de los años 20 que cuenta la historia de un crimen invisibilizado que se cometió en la nación Osage.

La película muestra algo de lo que la historia de los Estados Unidos no se ha ocupado demasiado y que no se enseña de forma generalizada: la expoliación capitalista y el colonialismo histórico salvaje hacia los pueblos originarios americanos.


Leonardo DiCaprio y Lily Gladstone en un fotograma de Los asesinos de la luna, de Martin Scorsese.
FilmAffinity

Dar voz a este tipo de historias en la actualidad es parte de un movimiento social y cultural en auge. Sin embargo, sería bueno considerar estos relatos desde una perspectiva decolonial y narrarlos, otrora sesgados y minimizados, desde las propias comunidades con la voz de sus integrantes. Ya existen ejemplos en otros países del mundo.

La producción de este tipo de películas genera un impacto importante, pero lo es aún más la existencia de una reforma estructural en los currículos escolares de Historia, pues allí sigue existiendo un ensordecedor silencio al respecto.

Gonzalo Andrés García Fernández, historiador especializado en enseñanza de la historia, Universidad de Alcalá.

La soledad en Los que se quedan

Un profesor cascarrabias, un estudiante problemático y una jefa de cocina que ha perdido a su hijo en la guerra de Vietnam son “los que se quedan” durante la Navidad de 1970 en la Barton Academy, un internado de élite en Nueva Inglaterra (EE. UU.).

En la historia enseguida se evidencia la soledad de cada personaje, derivada de la carencia de relaciones interpersonales afectivas y significativas. La convivencia obligada de los tres es inicialmente explosiva y está cargada de emociones negativas de rabia y amargura –en el caso del profesor Hunham–, abandono y desamparo –en Angus, el estudiante– y duelo y tristeza –en Mary, la cocinera–.


Dominic Sessa, Da’Vine Joy Randolph y Paul Giamatti en un fotograma de Los que se quedan.
FilmAffinity

Sin embargo, con el paso de los días, en el trato cotidiano y, especialmente, durante el furtivo viaje a Boston del profesor y el estudiante, las personas de esta obligada familia navideña se van abriendo a la comunicación, la empatía, la ayuda, la complicidad y el disfrute conjunto. La soledad va dejando paso al logro de, finalmente, tejer lazos afectivos de amistad, compromiso y preocupación por el bienestar del otro.

La película, hecha con gran sensibilidad, provoca la cercanía con los personajes y nos invita a pensar.

Inés Monjas Casares, profesora de Psicología, Universidad de Valladolid.

Ser director de orquesta en Maestro

Vivir con un genio no debe ser fácil, y sin duda Leonard Bernstein lo era. Su carismática personalidad y su enorme versatilidad le granjearon no solamente un merecido prestigio sino una popularidad inusual en el universo de la música clásica. Definido como un hombre del Renacimiento, destacó como director orquestal, dotado de una expresividad que, lamentablemente, en Maestro se torna en un histrionismo muy alejado de la elegancia natural del personaje.


Bradley Cooper como Leonard Bernstein en Maestro, también dirigida por él.
FilmAffinity

Menos conocida es su obra compositiva, que combina lo popular con lo clásico, lo mundano con lo trascendente. Fue también un magnífico pianista, docente y escritor.

La película intenta retratar su ansia de no renunciar a nada en la vida, de explorar todas sus facetas, con el correspondiente impacto en su ámbito personal y en su matrimonio con Felicia Montealegre. Desafortunadamente, este retrato se torna en una injusta caricatura del personaje que desdibuja sus logros. Compensémoslo aprendiendo de sus maravillosos conciertos para jóvenes, que consiguieron generar en el gran público el amor por la música clásica que fue el centro de su vida.

Cristina Simón, profesora en IE University, musicóloga e investigadora de la organización de equipos en el mundo de las orquestas.

El dilema de Oppenheimer

Oppenheimer narra la historia de J. Robert Oppenheimer, un físico teórico cuyo papel fue crucial en el desarrollo de la primera bomba atómica durante del Proyecto Manhattan, un acontecimiento que marcó el comienzo de la era atómica. La película dirigida por Christopher Nolan se inspira en el libro biográfico de 2005 sobre el físico, Prometeo americano, escrito por Kai Bird y Martin J. Sherwin.


Cillian Murphy en un fotograma de Oppenheimer, de Christopher Nolan.
FilmAffinity

Pero además aborda otro aspecto fundamental: la moralidad de los avances científicos. Oppenheimer se vio profundamente afectado por el poder destructivo de sus descubrimientos y comenzó a cuestionarse las implicaciones morales de su creación. Este dilema lo acompañó el resto de su vida: ¿acaso la bomba sería promotora de vida gracias a la energía nuclear, o se convertirá en el destructor del mundo?

Finalmente, Oppenheimer empleó su posición como asesor jefe en la creada Comisión de Energía Atómica para detener la expansión de armas nucleares.

Víctor Javier Llorente Lázaro, investigador en Mecánica de Fluidos y Matemática Aplicada, Universidad de Granada.

La mirada masculina en Pobres criaturas

Muchas conversaciones sobre Pobres criaturas giran alrededor de la pregunta de si el personaje de Bella Baxter es feminista. La película, desde luego, es muchas cosas: visualmente vibrante, entretenida y de una exquisitez estética que, efectivamente, acompaña a Bella en su viaje de asombro y autodescubrimiento. También es verdad que toca varios temas que el movimiento feminista ha reinvindicado siempre: poner en evidencia el patriarcado y sus mecanismos, la lucha por la autonomía, la liberación del escrutinio social, etc.


Emma Stone, protagonista de Pobres criaturas, de Yorgos Lanthimos.
FilmAffinity

Sin embargo, Bella parece ser la enésima víctima de la mirada masculina, no solo de los personajes que la quieren poseer y controlar, sino también –y a pesar de todo– de los creadores de la película. Es una mirada que no ve a Bella como una mujer de carne y hueso, sino que la pone en un pedestal, venerada inicialmente como virgen, más adelante como prostituta feliz y finalmente como femme fatale inalcanzable. Eso sí, siempre empoderada y con agencia.

Este “empoderamiento” recuerda a las representaciones posfeministas del girl power de finales de los años 90 y los 2000. En la retórica posfeminista, la libre elección, como la que ostenta Bella, es simplemente un discurso que oculta nuevas formas de sexualización y cosificación de las mujeres jóvenes (guapas, cis-hetero, blancas y de clase media, por cierto).

Por esto, y muchas otras razones, Pobres Criaturas parece más una fantasía masculina, metida en un –maravilloso– embalaje de película de autor, que un film feminista.

Cilia Willem, profesora e investigadora, dirige la Unidad de Igualdad de la Universitat Rovira i Virgili.

Sentirse extranjera en Vidas pasadas

Vidas pasadas es una película magnífica que contiene emoción, reflexión y también algo de tristeza. Es una película sobre el amor y los espejismos del yo en una situación de migración internacional, sobre las vidas que pudieron ser y no fueron cuando uno se traslada a otro a país y deja el propio atrás.


Yoo Teo y Greta Lee en un fotograma de Vidas pasadas, de Celine Song.
FilmAffinity

La película, a través del personaje de la protagonista, Nora, habla de la experiencia de vivir entre dos mundos: el de origen, donde se creció, se aprendió el lenguaje y la cultura, y al que se perteneció; y el nuevo, el de acogida, al que los migrantes tienen que aprender a adaptarse, mientras, habitualmente, sufren rechazo y son representados de forma negativa, como extraños que no forman parte de la comunidad local y nacional.

Sin embargo, y a pesar de su belleza, Vidas pasadas no habla de la experiencia colectiva de la migración, sino sencillamente de una forma concreta de migrar e integrarse en la nueva sociedad. Es una forma significativa pero minoritaria: por elección y en buena situación económica.

A diferencia de los protagonistas, la mayoría de los inmigrantes en nuestros países son incorporados “en el fondo” de la estructura social, y deben vivir sus historias no solo entre dos mundos, sino desde condiciones de vida y trabajo tremendamente restrictivas y vulnerables.

Juan Iglesias Martínez, investigador y profesor del Instituto Universitario de Estudios sobre Migraciones, Universidad Pontificia Comillas.

Gonzalo Andrés García Fernández ha recibido fondos públicos de investigación en el marco de las Ayudas Margarita Salas, en los cursos 2022 y 2023. Actualmente, desde el 1 de marzo de 2024, recibe fondos de la Universidad Nacional Autónoma de México en calidad de becario postdoctoral.

Patricia San José Rico recibe fondos de la Agencia Estatal de Investigación como miembro del proyecto de investigación reconocido «Historia crítica de la literatura étnica norteamericana: una aproximación intercultural VI (PID2019-108754GBI00)».

Cilia Willem, Cristina Simón, Francisco Javier Blázquez Ruiz, Inés Monjas Casares, Juan Iglesias Martínez, Maria Medina-Vicent, Rosa Rodríguez Bahamonde y Víctor Javier Llorente Lázaro no reciben salarios, ni ejercen labores de consultoría, ni poseen acciones, ni reciben financiación de ninguna compañía u organización que pueda obtener beneficio de este artículo, y han declarado carecer de vínculos relevantes más allá del puesto académico citado.

Categorías
Uncategorized

Las plantas reconocen cadáveres de sus compañeras y activan sus defensas

Es posible creer que las plantas son organismos delicados que, como no pueden salir corriendo, mueren en cuanto aparece una amenaza. Sin embargo, las plantas tienen un potente sistema defensivo que reconoce a los organismos nocivos (patógenos o herbívoros) y responde contra ellos. Activan un escudo, un sofisticado sistema de defensa que actúa de modo similar a nuestro sistema inmunológico. Pero incluso van más allá.

Un nuevo estudio, realizado con plantas de pimiento, acaba de demostrar que su sistema defensivo se activa incluso cuando detectan cadáveres de otras plantas.

Así se defienden

Cuando un herbívoro muerde una hoja, la planta reconoce el peligro mediante receptores presentes en sus células.

Pero ¿qué perciben realmente estos receptores celulares de la planta?

Al romperse los tejidos vegetales, tras la mordida del herbívoro, quedan partes de células en la zona del ataque (principalmente moléculas de la pared celular, como la celulosa). Estos fragmentos celulares son patrones moleculares asociados a daño, que las células que han quedado sanas reconocen, enviando señales al resto de la planta para dar aviso del ataque.

En ese momento comienza la resistencia sistémica vegetal. La planta envía una señal hormonal a todos sus tejidos, activando las defensas (por ejemplo, sintetizando compuestos insecticidas), para evitar que el atacante termine por matar a la planta.

Investigadores de la Universidad de Valladolid y de la Misión Biológica de Galicia (CSIC) decidieron investigar cómo explotar este mecanismo defensivo vegetal en la agricultura.

La base de la biofumigación

En la década de los 90 se inició una práctica agrícola muy interesante para controlar plagas y enfermedades de los cultivos, la biofumigación. Básicamente consiste en cultivar brásicas, un conjunto de plantas muy utilizadas en la agricultura y en nuestra dieta, incluyendo, por ejemplo, al brócoli, el repollo, las coles de Bruselas, la berza (o kale), la colza o el nabo, y enterrarlas antes del siguiente cultivo.

¿Y por qué se hace eso? Estos vegetales tienen una característica química que les convierte en superalimentos. Acumulan en sus tejidos compuestos denominados glucosinolatos, con numerosos efectos beneficiosos en nuestra alimentación (anticancerígenos, antidiabéticos, antiinflamatorios, etc.).

Sin embargo, originalmente su función es la defensa de estas plantas. Para evitar el ataque de herbívoros y patógenos, las brásicas acumulan en sus tejidos estos glucosinolatos, que resultan muy tóxicos para determinados microorganismos (bacterias y hongos) e insectos plaga.

Si un agricultor cultiva una brásica y posteriormente entierra las plantas, se liberarán al suelo los glucosinolatos (y compuestos derivados de estos), que limpiarán el suelo de patógenos y plagas.

Los pimientos reconocen cadáveres de otras plantas

En un trabajo reciente, publicado en la revista BMC Plant Biology, utilizamos tejidos de una brásica (la berza gallega o kale), no como biofumigante, sino como aviso de peligro para otros cultivos. Concretamente se recogieron hojas de berza y se pulverizaron, para posteriormente aplicarlas en el suelo. Además, parte de estos tejidos pulverizados fueron sometidos a altas temperaturas (120 ºC), para eliminar los glucosinolatos y, de esta forma, saber si estos compuestos actúan como señales de peligro para otras plantas.

El polvo de berza fue aplicado a raíces de plantas de pimiento, infectadas en sus hojas con un hongo patógeno llamado Rhizoctonia solani.

Con este experimento, se pretendía comprobar si las raíces de pimiento eran capaces de reconocer los glucosinolatos de la berza como signos de peligro y activaban sus defensas por toda la planta, impidiendo el ataque del patógeno en las hojas.

Los resultados obtenidos demuestran que las plantas de pimiento reconocían a los glucosinolatos a través de sus raíces y activaban sus defensas sistémicas mediante diferentes rutas hormonales, acumulando compuestos antifúngicos en sus hojas.

Este estudio representa un importante avance en el entendimiento de cómo las plantas reconocen el peligro y responden ante él, abriendo la puerta a desarrollar estrategias sencillas para mejorar la sanidad de nuestros cultivos.

Jorge Poveda Arias no recibe salario, ni ejerce labores de consultoría, ni posee acciones, ni recibe financiación de ninguna compañía u organización que pueda obtener beneficio de este artículo, y ha declarado carecer de vínculos relevantes más allá del cargo académico citado.

Categorías
Uncategorized

Así podemos enseñar matemáticas a través del cine

Samuel L. Jackson y Bruce Willis en La jungla de cristal III (John McTiernan, 1995) IMDB

“¿Para qué me sirve a mí esto?” es una pregunta habitual que plantean los estudiantes frustrados cuando se enfrentan a la resolución de un sistema de ecuaciones o al cálculo de un máximo común divisor.

La enseñanza de las matemáticas en secundaria y bachillerato se realiza actualmente a partir de procedimientos. Sabemos, por ejemplo, cómo resolver un determinado tipo de ecuaciones, pero no para qué se aplican. Para entender la utilidad de las matemáticas, es necesario contextualizarlas.



Leer más:
Por qué los problemas de matemáticas son un rollo (y cómo evitarlo)

El cine puede ser un recurso excelente en el que encontrar este tipo de contextos en los que se desarrolla un problema matemático y aprovecharlo para aprender. A veces con escenas en las que aparece descrito explícitamente un problema a resolver, y en otras ocasiones con situaciones sugeridas o imaginadas a partir de lo que vemos. Así lo explico en el libro Matemáticas a través del cine.

Jugadores de béisbol y fracciones unitarias

En la película Un entrenador de primera (Andrew Scheinman, 1994) su protagonista no sabe cómo resolver la siguiente cuestión:

“Joe y Sam tiene que pintar una casa. El primero lo hace en tres horas, mientras que el segundo necesita cinco. ¿Cuánto tardarán si la pintan juntos?”

Asistimos entonces a una colección de propuestas de solución de lo más variopinto, hasta que una persona propone utilizar una fórmula cerrada, sin mayor explicación:


Fotograma de Un entrenador de primera, de 1994.

Aunque la respuesta es correcta, la memorización de expresiones matemáticas sin mayor explicación o razonamiento no es demasiado útil (¿vamos a aprender una fórmula para cada tipo de ejercicio?). Lo realmente práctico es deducir un procedimiento general.

Una posibilidad es emplear una medida común que describa el trabajo de Joe y de Sam (no 3 y 5 horas). Por ejemplo, cuánto pintaría cada uno en una hora (obviamente 1/3 y 1/5 de casa, respectivamente). Los dos juntos lo harían entonces en:


Una persona pinta un tercio de casa en 1 hora y la otra una quinta parte. Juntas pintan 8 quinceavos de casa en una hora: así se puede calcular cuánto tardan en pintarla completa.

Por tanto, si 8/15 es lo que avanzan los dos en una hora, 1/(8/15) = 15/8 es el tiempo en pintar la casa completa, es decir, 1 hora y 52.5 minutos, ya que 15/8 = 1 + 7/8

Ese tipo de fracciones que se han utilizado, con numerador la unidad, se denominan “unitarias”, y fueron utilizadas por los egipcios tal y como hemos descubierto en algunos papiros. Los investigadores no conocen con certeza para qué las utilizaban, pero una utilidad que se ha encontrado es la de hacer repartos en partes iguales.

Repartos equitativos

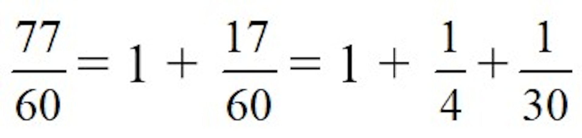
Supongamos que hemos preparado una fiesta para la que inicialmente contábamos con 77 personas. Se encargaron 77 tartas (o pizzas, o el objeto que se deseé que pueda dividirse en trozos). Por diferentes circunstancias, al final sólo se presentan 60 invitados. Por supuesto el organizador no desea desperdiciar comida, y el sortear las tartas sobrantes no le parece justo para los que no les toque, de modo que decide que a cada uno de los 60 presentes debe corresponderle exactamente la misma cantidad de tarta. ¿Cómo deberíamos repartirlas?

Las fracciones unitarias pueden ayudarnos.


Para repartir 77 tartas entre 60 personas podemos usar las fracciones unitarias.

Cuando nos enseñan en la escuela a sumar fracciones, nos indican que debemos encontrar el mínimo común múltiplo de los denominadores y luego ir encontrando las fracciones equivalentes a las dadas cuando colocamos en el denominador ese mínimo común múltiplo.


Reducción a un mínimo común denominador de la expresión anterior.

Normalmente hacemos esas operaciones mecánicamente, sin pararnos a pensar que representan. El caso es que la anterior operación nos está diciendo que 30 tartas debemos dividirlas a la mitad (véase que ½ es la fracción equivalente a 30/60), 20 en tres partes, 15 en cuatro partes y 12 en cinco partes. Dando un trozo a cada comensal de todos los obtenidos, se reparten de modo exacto e igual todas las tartas.

Quizá con un gráfico lo veamos todavía más claro:


Gráfico que representa la fracción (30 + 20 + 15 + 12) partido de 60.

En color rojo, las 30 tartas divididas a la mitad; en azul, las 20 tartas divididas en tres trozos iguales; en verde, 15 tartas divididas en cuatro trozos iguales; en amarillo, 12 tartas divididas en cinco partes iguales. En total tenemos 240 trozos, por lo que, repartiendo un trozo de cada color a cada uno de los 60 comensales, todos tendrían la misma cantidad de tarta.

Soluciones lógicas

Sin embargo, todos hemos experimentado alguna vez que, al dividir en trozos un alimento (pizzas, por ejemplo), cuantos más cortes hagamos, más comida se desperdicia (por las migas que van formándose, además de que quizá no dispongamos de un procedimiento para hacer tres o cinco partes de manera exacta). Por tanto, sería deseable ir al procedimiento que menor número de cortes necesitara. La descomposición de una fracción en fracciones unitarias no es única. ¿Podríamos encontrar una con menos cortes?

Pensando un poco, enseguida nos percatamos de que la fracción original, 77/60 es mayor que 1. Por tanto, ¿para qué partir tantas tartas, si podemos dar alguna entera a cada invitado?


Para repartir 77 tartas entre 60 personas sin necesitar de cortarlas todas, podemos repartir 1 tarta completa más y cuarto de tarda y una porción mínima de 1/30.

En este caso, dando a cada invitado una tarta entera y dividiendo 15 tartas en cuatro partes iguales, 2 en treinta partes iguales, también tenemos un reparto igualitario y por tanto justo. Desde luego se hacen menos trozos, pero ¿cómo dividir 2 tartas en treinta partes iguales?

Ese es otro asunto para el que quizá las matemáticas puedan servirnos de ayuda. La discusión que puede seguir a continuación es si existirá algún otro reparto “mejor”, y por supuesto llegar al “óptimo”. La descomposición en fracciones unitarias es posible sea cual sea la fracción a repartir, el planteado no es un ejemplo elegido para que quede “bonito y académico”.

John McCLane y las ecuaciones

Bruce Willis nos puede ayudar a contextualizar las ecuaciones diofánticas. En La jungla de cristal III, su personaje John McClane tiene que intentar impedir que explote una bomba antes de que termine una cuenta atrás. Para ello necesita poner 4 litros exactos en una balanza y tiene solamente la ayuda de dos garrafas, una de 5 y otra de 3 litros.

Este mismo concepto matemático lo podemos ejemplificar con un ejercicio de medida del tiempo con relojes de arena a través de una escena de La habitación de Fermat.

Y para problemas de cálculo de probabilidades, ¿qué no habrían dado los jugadores a la ruleta rusa en El cazador (1978) o los duelistas del El bueno, el feo y el malo (1968) por ser capaces de calcular sus probabilidades de supervivencia?

Entrenar el razonamiento

Si queremos demostrar que las matemáticas son útiles para la vida, el cine es un aliado a través del que encontrar esas situaciones y estimular el razonamiento: el contexto es fundamental para entrenarse en la resolución de problemas. Estas películas nos ofrecen precisamente eso, un contexto sobre el que trabajar.

Ningún ChatGPT puede de momento realizar razonamientos similares. Por ejemplo, para nuestro ejemplo anterior de las 77 pizzas y los 60 invitados, nos responde que 77 pizzas pueden dividirse en un total de 77 x 8 = 616 porciones (asumiendo que cada pizza se corta en 8 porciones iguales). Luego, para repartir equitativamente entre 60 personas, dividiríamos 616 por 60, lo que nos da aproximadamente 10.27 porciones por persona.

Y prosigue su argumento diciendo que, como no se puede repartir una fracción de una porción de pizza, se podría redondear hacia abajo o hacia arriba. En el primer caso, cada persona recibiría 10 porciones de pizza, lo que equivale a 7 pizzas para cada 60 personas. Si se redondea hacia arriba, cada persona recibiría 11 porciones de pizza, lo que equivale a 8 pizzas para cada 60 personas. Dependiendo de cuánto se quiera que reciba cada persona, hay que decidir entre estas dos opciones.

Toda una salida por la tangente, porque se dijo bien claro que queríamos partes iguales para todos. Desde luego, un escriba egipcio del siglo XVI antes de nuestra era no hubiera respondido tan rápido, pero sí mejor.

Alfonso Jesús Población Sáez no recibe salario, ni ejerce labores de consultoría, ni posee acciones, ni recibe financiación de ninguna compañía u organización que pueda obtener beneficio de este artículo, y ha declarado carecer de vínculos relevantes más allá del cargo académico citado.

Categorías
Uncategorized

El desconocido viaje del príncipe de Gales por la España vaciada

Retrato de Carlos I a caballo, por Anton van Dyck . Royal Collection

Hace poco más de cuatrocientos años, en septiembre de 1623, un joven príncipe extranjero cruzó en su carruaje las tierras del norte de Castilla. Viajaba de El Escorial al puerto de Santander, para embarcar allí de regreso a su reino.

Se trataba de Carlos Estuardo, príncipe de Gales (futuro Carlos I de Inglaterra), e iba con prisa. Quería volver con su padre, Jacobo I, cuanto antes; tal ultrajado se sentía después de pasar cinco meses en la corte de Felipe IV intentando inútilmente acelerar su boda con la infanta María.

Por aquel entonces, la prensa propagó el esplendor de la jornada. Ahora, dos años de investigación de archivo reconstruyen el viaje al completo y desvelan, entre muchas cosas, cómo este encuentro inusual con la realeza inglesa se produjo en una España ya entonces “vaciada”.

Una alianza matrimonial fracasada

Mediante el matrimonio, España e Inglaterra pretendían perpetuar su paz de 1605. Pero conseguirlo iba a ser cosa difícil. El Parlamento inglés (de mayoría anglicana y puritana) se oponía por cuestiones religiosas, Jacobo I seguía aplicando penas a los católicos y España no quería alterar sus viejas alianzas en Europa.

Además, el príncipe se había presentado en Madrid sin previo aviso, ejerciendo una forma de presión poco diplomática. Así que, en las negociaciones, Felipe IV y el conde de Olivares, su valido, jugaron al despiste más que a otra cosa, pues cualquier concesión precipitada podía salir muy cara.

Hasta que a finales de agosto el príncipe Carlos se cansó: regresaría a Inglaterra, aunque tuviera que ser “sin novia, sin nupcias y sin contrato”, como murmuraban los embajadores extranjeros.

El cortejo del príncipe y las recepciones de Segovia y Valladolid

Salió de El Escorial el 9 de septiembre, en un coche de palacio. En otro, iban sus cofres de ropa y joyas; detrás, el favorito de su padre (George Villiers, marqués de Buckingham), el embajador de Inglaterra y unos cincuenta ingleses al servicio.

Del lado español, el conde de Monterrey y otros dos consejeros, junto al conde de Gondomar y un secretario, se encargarían de que los lugares por donde pasara le ofrecieran “agasajo, fiestas y buen reçevimiento”, como si se tratara del propio rey.

Y así lo hicieron. Enseguida la prensa informó de cómo en Segovia le regalaron “fuentes con más de tres mil escudos”, que él “esparció al pueblo”, además de una máscara a caballo, luminarias y toros y un aposento en los Alcázares.


Venus, Cupido y Marte, de Paolo Veronese, el cuadro que le gustó y enviaron al príncipe.
National Galleries of Scotland, CC BY-NC

En Valladolid, pusieron por las calles estandartes, músicos, arcabuceros y obras de platería. Por la tarde, le obsequiaron con la escultura de Giambologna y el cuadro del Veronés que le habían enamorado en los jardines de la Ribera. Después, en el palacio real, él cenó, contempló los fuegos y luminarias y se retiró a dormir.

Los pueblos del norte de Castilla acogen al príncipe

Fuera de la corte, ninguno de los pueblos donde el príncipe paró a dormir sabía muy bien quién era el que llegaba. Menos aún aquellos donde almorzó a mediodía: apenas montadas las mesas, servida y terminada la comida, se tenían que desmontar para proseguir el camino. Pero ellos obedecieron lo mandado.

En Santa María de Nieva (Segovia), durante el paseo, el príncipe Carlos recibió danzas y luminarias en señal de regocijo. Los de Santiuste de San Juan Bautista (también Segovia) le prepararon un encierro y un baile de bienvenida. Olmedo (Valladolid) compró toros para correr y, de noche, soltó otro encohetado.

Herrera de Pisuerga (Palencia) contrató toros, música, baile y comediantes para festejar su venida. Aguilar de Campóo (también Palencia) le entretuvo en el río con la exhibición de un hombre que “entrava devaxo del agua y salia con las truchas en las manos”.

A la gente se le prohibía trabajar en sus labores, para así aumentar la concurrencia. Entretanto, los concejos exprimían sus arcas para correr con los gastos. Buscaban donde no había, porque llevaban décadas vaciadas por la guerra, la peste y la sequía.


Reconstrucción del itinerario recorrido por el príncipe de Gales (en rojo). En amarillo se marca el que se seguía habitualmente, por el camino real que pasaba por Burgos para ir a Francia.
Anunciación Carrera de la Red sobre un mapa del Institut Cartogràfic i Geològic de Catalunya

La “España vaciada”: prisa y embargos

Por los caminos, la prisa del príncipe convirtió el viaje en un tormento. Mandaba hacer hasta diez leguas diarias (casi 50 km), no pernoctar más de una noche en el mismo sitio y, en lugar de seguir hasta Burgos, abandonar el tradicional camino real en Dueñas (Palencia) y dirigirse en dirección norte, derechos al mar. Al cruzar las montañas desde Reinosa (Cantabria) tuvieron que hacer a pie algunos tramos, porque los coches no cabían.

A ese ritmo y sin posadas para el refresco, los animales tampoco resistían. Por ello, los alcaldes y alguaciles emplearon más fuerza de la habitual en conseguir relevo y provisiones.

Todas las mulas que pudieron hallar entre Medina de Rioseco (Valladolid) y Burgos acabaron embargadas. De las tiendas sacaron madera, cera y hasta orinales para los aposentos del príncipe y de su séquito. Y para la provisión de los barcos ingleses tomaron harina, pollos, gallinas, carneros, jamones, quesos, vino, aceite, vinagre, todo lo que hubiera. La tierra era “estéril”, escribieron ellos. El rey contestaba que hicieran “gran fuerza por que la provisión fuese abundantísima y sobrada”.

Por fin en Santander, el heredero inglés no dudó en arriesgar su vida con tal de embarcar, aun en plena tormenta. Permaneció en su barco hasta que amainó y pudieron zarpar a Inglaterra el 24 de septiembre.

Ya en Inglaterra

Cuando en marzo de 1625 Carlos se convirtió en rey de Inglaterra, las capitulaciones de boda que había firmado en España ya eran historia. Tardó tres meses en casarse con la hermana del rey de Francia y otros tres en declararle la guerra a Felipe IV.

Todavía no se ha podido explicar bien por qué razón no prosperó el enlace. Lo que sí es claro es que en ello nada tuvieron que ver estos pueblos y ciudades castellanos, porque no hicieron más que la costumbre: dar hasta lo que no tenían.

La reconstrucción de la jornada a Santander del Príncipe de Gales se ha realizado con el apoyo del Ministerio de Ciencia e Innovación, Gobierno de España, y la Agencia Estatal de Investigación: Proyecto MIST: Intercambios entre la Península Ibérica y las Islas Británicas de la época moderna extensa (PID2020-113516GB-I00). Se ha presentado en el Warburg Institute de Londres y el recurso digital Spanish Connections expone algunas de las fuentes documentales en que se basa.

Categorías
Uncategorized

War in Europe is more than 5,000 years old – new research

Image of the site of San Juan ante Portam Latinam (Laguardia, Álava). José Ignacio Vegas / Universidad de Valladolid

Conflict has existed throughout human history, and it has often been violent. Attacks, assassinations, raids, ambushes and vendettas feature in archaeological records almost as far back as the origin of humankind itself. But not war.

War – as opposed to conflict – requires organisation, be it temporary or permanent. This usually involves the creation of institutionalised armies belonging to at least one of the groups involved. War legitimises violence, meaning one person can kill another without it being considered murder. War is also temporary by nature, usually lasting for a period of months or years.

Various studies suggest a connection between the birth of war and human settlement, when control of land and property became increasingly important.

The emergence of surpluses during the Neolithic era, especially in agriculture and livestock, soon led to concentrated power, permanent inequality, and the desire to expand and defend territories. It also led to the establishment of the first states, which maintained, expanded and consolidated power by recruiting large armies to wage war as we understand it today.

The birth of war

To trace the emergence of warfare, prehistorians and archaeologists have long been forced to rely on indirect indicators. These include defences, recorded appearances of weapons, or the identification of certain graphic elements, such as cave paintings. More recently, research has shifted towards direct evidence, particularly wounds on human bones, which are arguably the most incontrovertible evidence we have of past violence.

Thanks to advances in forensic anthropology, we have learned that the vast majority of known mass burial sites with signs of violence in European prehistory until well into the Neolithic era (6000-3000 BC) were essentially massacres. These were indiscriminate killings of communities of no more than 20-30 people, including whole populations of men, women and children, as a result of brutal surprise attacks by other groups.

The few archaeological sites that do not fit into this category appear to be the result of sacrifices or other violent ritual practices.

At sites such as the British settlements of Crickley Hill and Hambledon Hill, the discovery of hundreds of arrow heads around defences might suggest large coordinated attacks, but there is little to no skeletal evidence that they had actually been used in battle. For this, one would have to wait until the Bronze Age, around 1200 BC and the Battle of Tollense in Germany.

San Juan ante Portam Latinam: broken bones and paradigms

The burial site at San Juan ante Portam Latinam (SJAPL) was discovered in 1985 in Laguardia (Álava, Spain), and was excavated by J. I. Vegas and his collaborators 1990 and 1991. The skeletal remains of at least 338 people were found there, which were dated to around 3200 BC, in the late Neolithic period.

Initial studies found evidence of violence. Specifically, there were 53 head injuries and eight arrowhead wounds that had occurred some time before death (antemortem), and had already healed. However, there were also five arrowhead wounds and one head injury that had occurred around the time of death (perimortem), and had not healed.

Furthermore, it was suspected that the 52 flint arrowheads found in isolation (most with signs of impact) had been stuck in the bodies buried there, and had not been deliberately buried with them. Therefore, despite the apparently limited number of unhealed wounds, the burial site was originally thought to be the result of a massacre, possibly because of the lack of known prehistoric sites with signs of collective violence at the time.

Previous study on European Neolithic sites with evidence of violence soon made the uniqueness of SJAPL clear. While perimortem trauma, especially cranial trauma that is typical of melee combat, predominated at other sites, arrowhead wounds – evidence of combat at a distance – and antemortem trauma seemed to predominate at SJAPL. This suggested a longer, more complex and less lethal conflict.

The demographic at the site is also different from others. While at other sites there were men, women and children, there were predominantly adolescent or adult males at SJAPL.

Reexamining the remains

Recently, we have reexamined the remains found at SJAPL to assess its singular, anomalous results. This review identified a total of 107 head injuries, of which 48 were unhealed and 59 healed, and a total of 47 injuries to other parts of the skeleton, of which 17 were unhealed and 30 healed.

Interestingly, the vast majority involved adolescent and adult males, particularly those that were unhealed. In addition, some of these men were found to have both healed and unhealed wounds, indicating that they had been exposed to violence on several occasions.


Photograph of a skull with impact injuries.
Teresa Fernandez Crespo/Universidad de Valladolid

This review estimated that at least 23% of the people buried at SJAPL had suffered a violent event in their lifetime, and at least 10% had died as a result. However, this is a very low estimate, as it does not take into account the 52 arrowheads that may have impacted soft tissue, nor injured bones that cannot be linked to specific individuals. Including these factors would mean that an estimated 90 individuals (27%) died due to violence at SJAPL.

In addition, it is worth bearing in mind that only around 50% of wounds leave a mark on the bone, and that the preservation of the remains at SJAPL is quite poor, with multiple recent postmortem fractures affecting the record. Therefore, the final number could easily be double or triple our estimates.

Based on these results, SJAPL is the oldest European site to date in which a large scale, organised and long-lasting conflict has been clearly documented. Furthermore, the area of Rioja Alavesa, where SJAPL is located, is the European region with the highest total number of arrowhead wounds (identified in at least three other sites), all of them from between 3380 and 3000 BC, indicating a regional conflict.

High rates of nutritional deficiency documented in SJAPL show a declining quality of life, but also reveal the previously unsuspected logistical capacity of late neolithic communities to sustain violent conflict over time, i.e. to wage war. That makes it the first documented example of warfare on the continent in Neolithic times, almost two millennia earlier than previously assumed.

Teresa Fernández Crespo has received funding from the British Academy (NF170854), the European Union (MSCA-IF790491), and the Spanish Ministry of Science and Innovation (CNS2022-136080) in carrying out and publishing this research.